我室揭示轮胎微粒老化过程对微藻毒性的影响机制
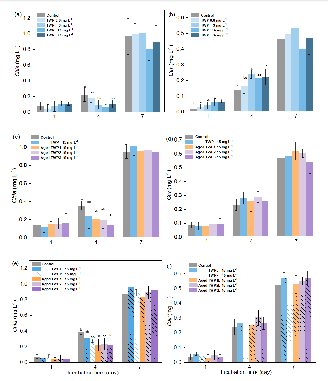
鉴于海洋微藻在食物链和养分循环中的关键作用,本研究选择了海洋生态系统中常见的硅藻Phaeodactylum tricornutum作为试验物种,探究了微藻生理和代谢对不同浓度TWPs(实验1)、原始和不同老化程度的TWPs(实验2)及其渗滤液和浸出颗粒(实验3)的响应(图1)。结果显示TWPs对微藻生长呈现低剂量刺激和高剂量抑制效应,且与原始TWPs相比,老化TWPs对微藻的生理和代谢影响更大,包括抑制微藻生长、降低Chla含量、对藻类细胞造成氧化损伤等(图2)。通过对TWPs的颗粒和渗滤液进行表征并探究其对微藻生理和代谢的影响,本研究首次证明了老化后TWPs的颗粒物和渗滤液的毒性均增加,TWPs老化后表面形态的变化(图3)和添加剂的释放增强证实了这一点,并揭示了影响微藻代谢的关键添加剂。研究结果深化了对老化TWPs微藻毒性机制的理解,并呼吁在TWPs风险评估中需考虑长期老化对TWPs毒性的影响。成果发表于生态环境领域顶级期刊Water Research上。

图1 TWPs的老化处理和暴露实验设计示意图

图2 不同浓度TWPs(实验1,a,b),原始和老化的TWPs(实验2,c,d)及其颗粒与渗滤液(实验3,e,f)对微藻光合色素的影响

图3 FTIR光谱(a)和初始(b)及不同老化处理TWPs(c-e)的SEM图像 c-e分别代表由紫外线、低剂量和高剂量K2S2O8处理的TWPs
中国科学院烟台海岸带研究所副研究员吕敏为论文第一作者,陈令新研究员为论文通讯作者。研究成果得到了中国科学院青年创新促进会、国家自然科学基金和泰山学者青年专家等项目的资助。
相关论文:
Min Lv,Fanyu Meng,Mingsan Man,Shuang Lu,Suyu Ren,Xiaoyong Yang,Qiaoning Wang,Lingxin Chen. Aging increases the particulate- and leachate-induced toxicity of tire wear particles to microalgae. Water Research, 2024,256,121653. https://doi.org/10.1016/j.watres.2024.121653
附件下载: